Официальное опубликование правовых актов
ОФИЦИАЛЬНОЕ ОПУБЛИКОВАНИЕ
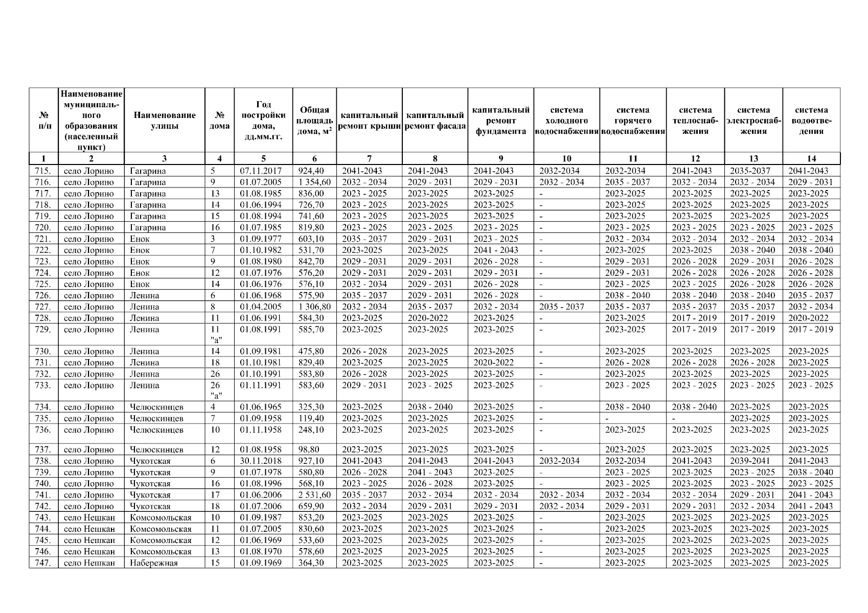
Постановление Правительства Чукотского автономного округа от 22.12.2023 № 482
"О внесении изменений в Постановление Правительства Чукотского автономного округа от 25 ноября 2014 года № 555"
Номер опубликования: 8700202312260004
Дата опубликования: 26.12.2023
Страница №50 из 52:
Увеличить