Официальное опубликование правовых актов
ОФИЦИАЛЬНОЕ ОПУБЛИКОВАНИЕ
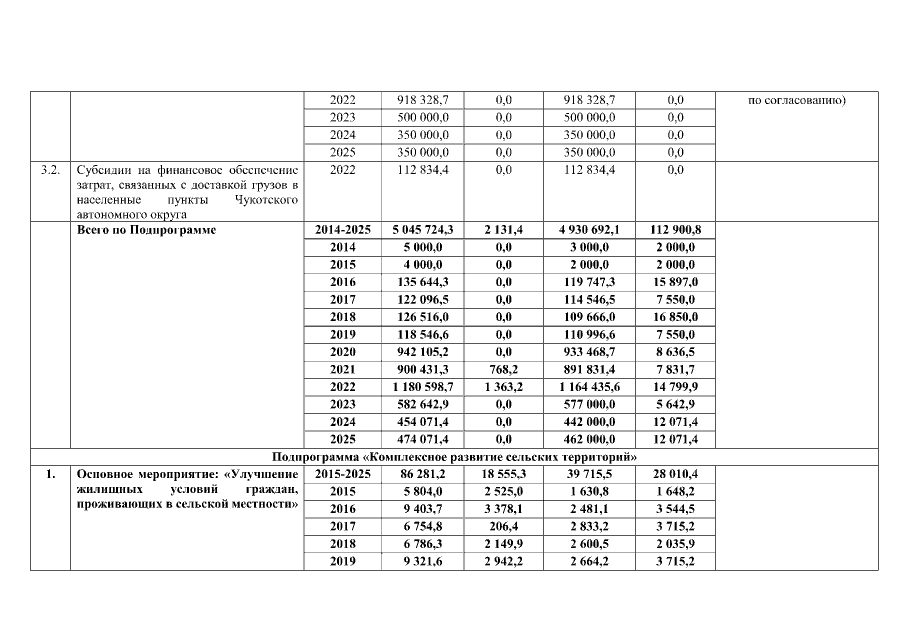
Постановление Правительства Чукотского автономного округа от 31.03.2023 № 164
"О внесении изменений в Постановление Правительства Чукотского автономного округа от 21 октября 2013 года № 411"
Номер опубликования: 8700202304030003
Дата опубликования: 03.04.2023
Страница №62 из 84:
Увеличить