Официальное опубликование правовых актов
ОФИЦИАЛЬНОЕ ОПУБЛИКОВАНИЕ
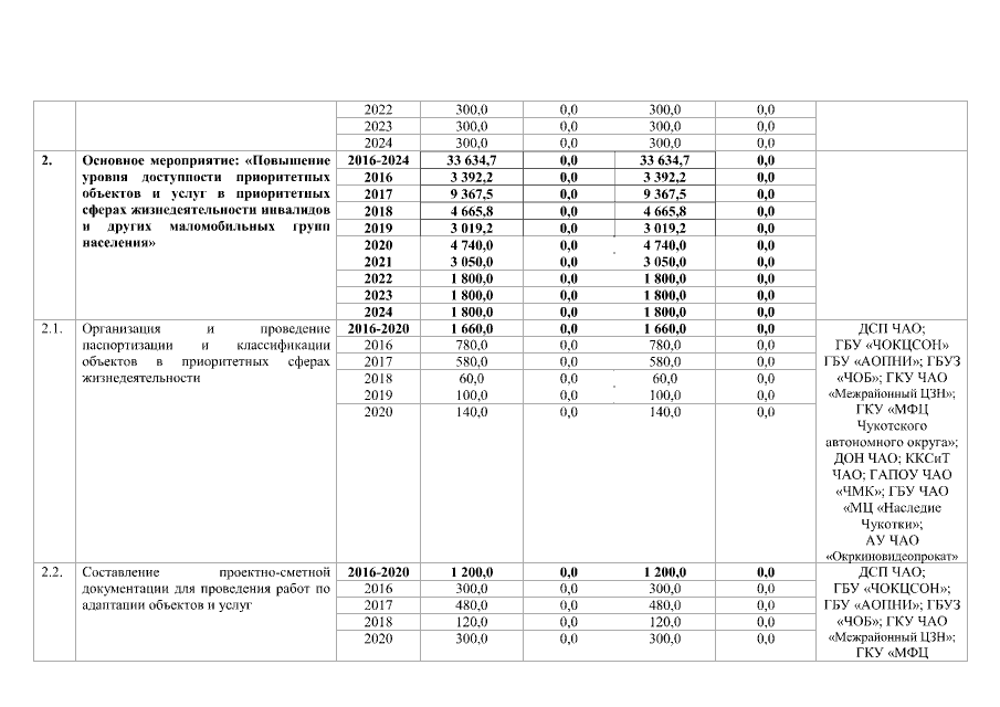
Постановление Правительства Чукотского автономного округа от 22.01.2020 № 19
"О внесении изменений в Постановление Правительства Чукотского автономного округа от 21 октября 2013 года № 404"
Номер опубликования: 8700202001240002
Дата опубликования: 24.01.2020
Страница №29 из 37:
Увеличить