Официальное опубликование правовых актов
ОФИЦИАЛЬНОЕ ОПУБЛИКОВАНИЕ
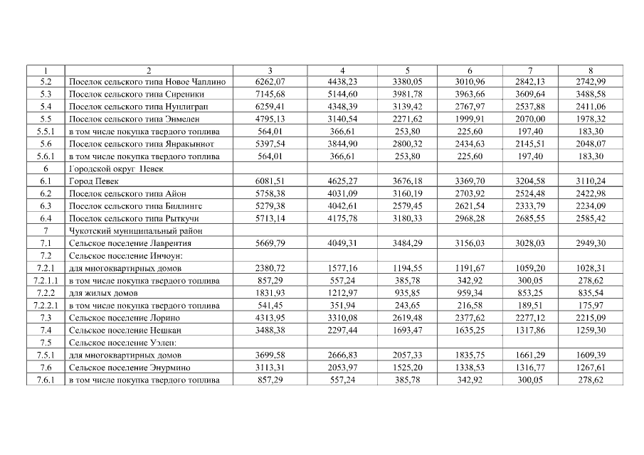
Постановление Правительства Чукотского автономного округа от 22.01.2020 № 20
"Об установлении региональных стандартов стоимости жилищно-коммунальных услуг, используемых для расчёта субсидий на оплату жилого помещения и коммунальных услуг в 2020 году"
Номер опубликования: 8700202001240001
Дата опубликования: 24.01.2020
Страница №5 из 20:
Увеличить