Официальное опубликование правовых актов
ОФИЦИАЛЬНОЕ ОПУБЛИКОВАНИЕ
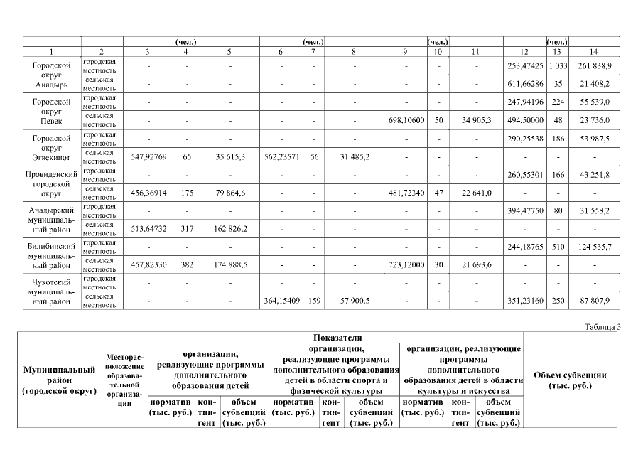
Постановление Правительства Чукотского автономного округа от 09.12.2019 № 547
"О внесении изменений в Постановление Правительства Чукотского автономного округа от 11 декабря 2018 года № 395"
Номер опубликования: 8700201912110003
Дата опубликования: 11.12.2019
Страница №4 из 5:
Увеличить