Официальное опубликование правовых актов
ОФИЦИАЛЬНОЕ ОПУБЛИКОВАНИЕ
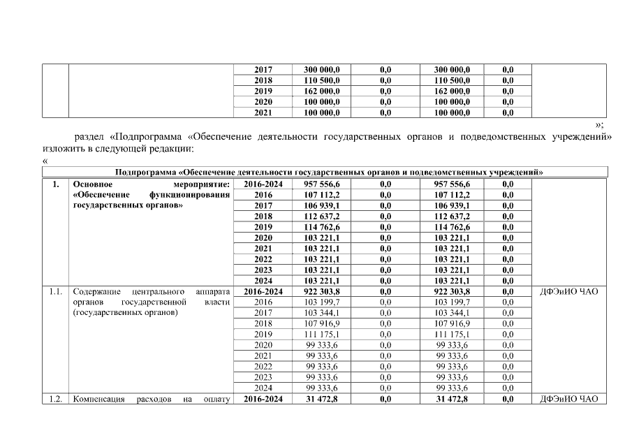
Постановление Правительства Чукотского автономного округа от 29.11.2019 № 535
"О внесении изменений в Постановление Правительства Чукотского автономного округа от 28 марта 2014 года № 142"
Номер опубликования: 8700201912040007
Дата опубликования: 04.12.2019
Страница №11 из 14:
Увеличить