Официальное опубликование правовых актов
ОФИЦИАЛЬНОЕ ОПУБЛИКОВАНИЕ
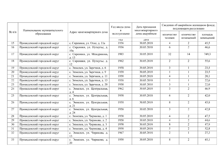
Постановление Правительства Чукотского автономного округа от 10.06.2019 № 305
"О внесении изменений в Постановление Правительства Чукотского автономного округа от 29 марта 2019 года № 170"
Номер опубликования: 8700201906130008
Дата опубликования: 13.06.2019
Страница №25 из 27:
Увеличить