Официальное опубликование правовых актов
ОФИЦИАЛЬНОЕ ОПУБЛИКОВАНИЕ
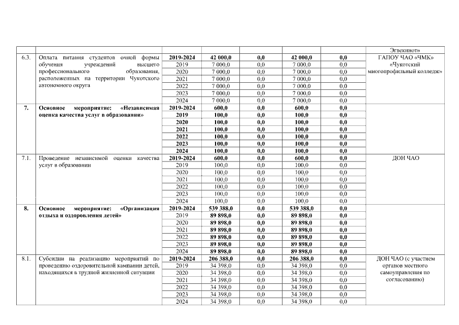
Постановление Правительства Чукотского автономного округа от 08.04.2019 № 192
"Об утверждении Государственной программы "Развитие образования и науки Чукотского автономного округа"
Номер опубликования: 8700201904150006
Дата опубликования: 15.04.2019
Страница №55 из 122:
Увеличить