Официальное опубликование правовых актов
ОФИЦИАЛЬНОЕ ОПУБЛИКОВАНИЕ
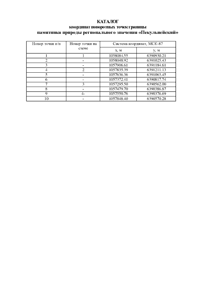
Постановление Правительства Чукотского автономного округа от 18.10.2018 № 325
"Об утверждении Положения и Паспорта памятника природы регионального значения "Пекульнейский"
Номер опубликования: 8700201810220001
Дата опубликования: 22.10.2018
Страница №9 из 18:
Увеличить