Официальное опубликование правовых актов
ОФИЦИАЛЬНОЕ ОПУБЛИКОВАНИЕ
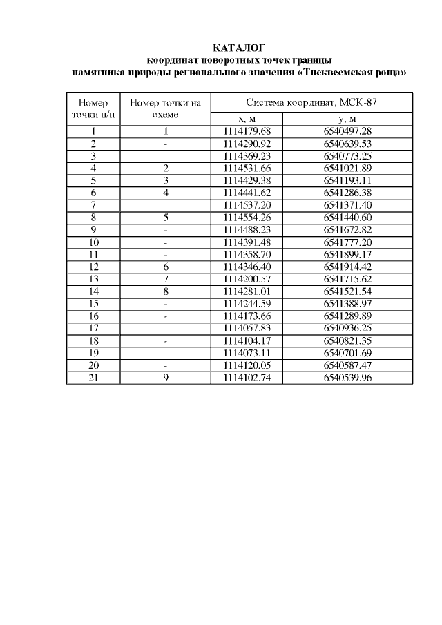
Постановление Правительства Чукотского автономного округа от 03.10.2018 № 309
"Об утверждении Положения и Паспорта памятника природы регионального значения "Тнеквеемская роща"
Номер опубликования: 8700201810080004
Дата опубликования: 08.10.2018
Страница №10 из 21:
Увеличить