Официальное опубликование правовых актов
ОФИЦИАЛЬНОЕ ОПУБЛИКОВАНИЕ
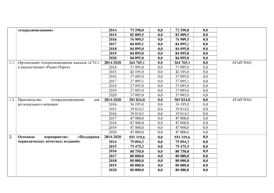
Постановление Правительства Чукотского автономного округа от 19.07.2018 № 246
"О внесении изменений в Постановление Правительства Чукотского автономного округа от 21 октября 2013 года № 402"
Номер опубликования: 8700201807230003
Дата опубликования: 23.07.2018
Страница №7 из 11:
Увеличить