Официальное опубликование правовых актов
ОФИЦИАЛЬНОЕ ОПУБЛИКОВАНИЕ
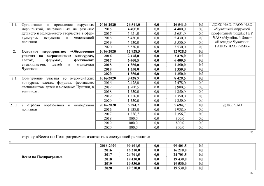
Постановление Правительства Чукотского автономного округа от 27.11.2017 № 406
"О внесении изменений в Постановление Правительства Чукотского автономного округа от 29 декабря 2015 года № 658"
Номер опубликования: 8700201711290007
Дата опубликования: 29.11.2017
Страница №22 из 34:
Увеличить