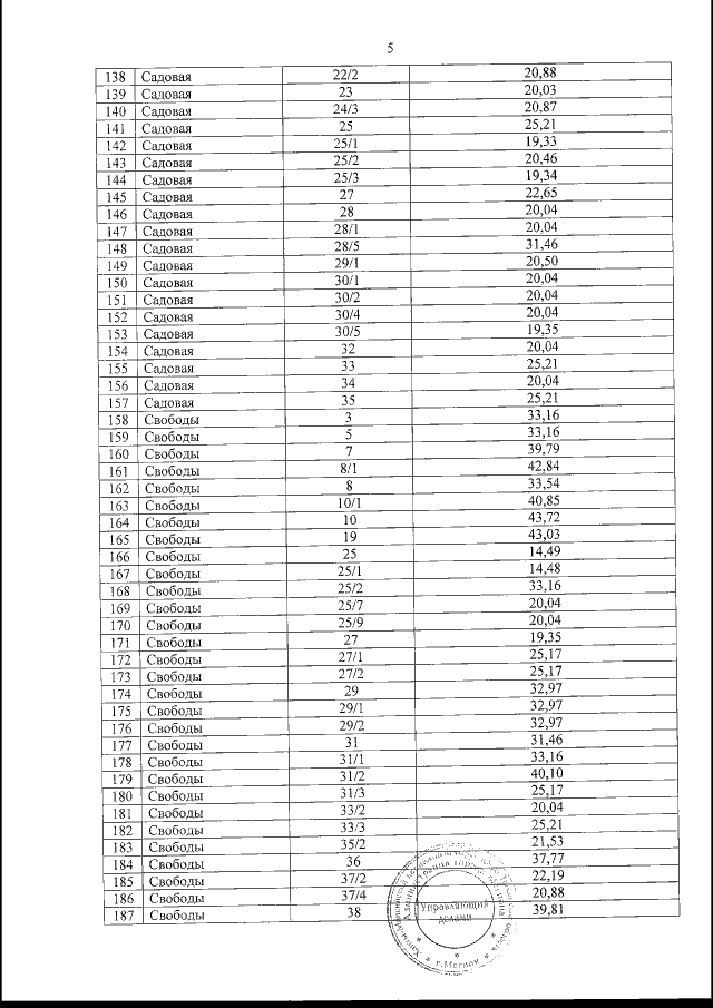
Постановление Администрации муниципального образования Ханты-Мансийского автономного округа - Югры городской округ город Мегион от 12.04.2018 № 706
"Об установлении размера платы за содержание жилого помещения" (тестовое опубликование)
"Об установлении размера платы за содержание жилого помещения" (тестовое опубликование)
Номер опубликования: 8602201804190003
Дата опубликования:
19.04.2018
