Официальное опубликование правовых актов
ОФИЦИАЛЬНОЕ ОПУБЛИКОВАНИЕ
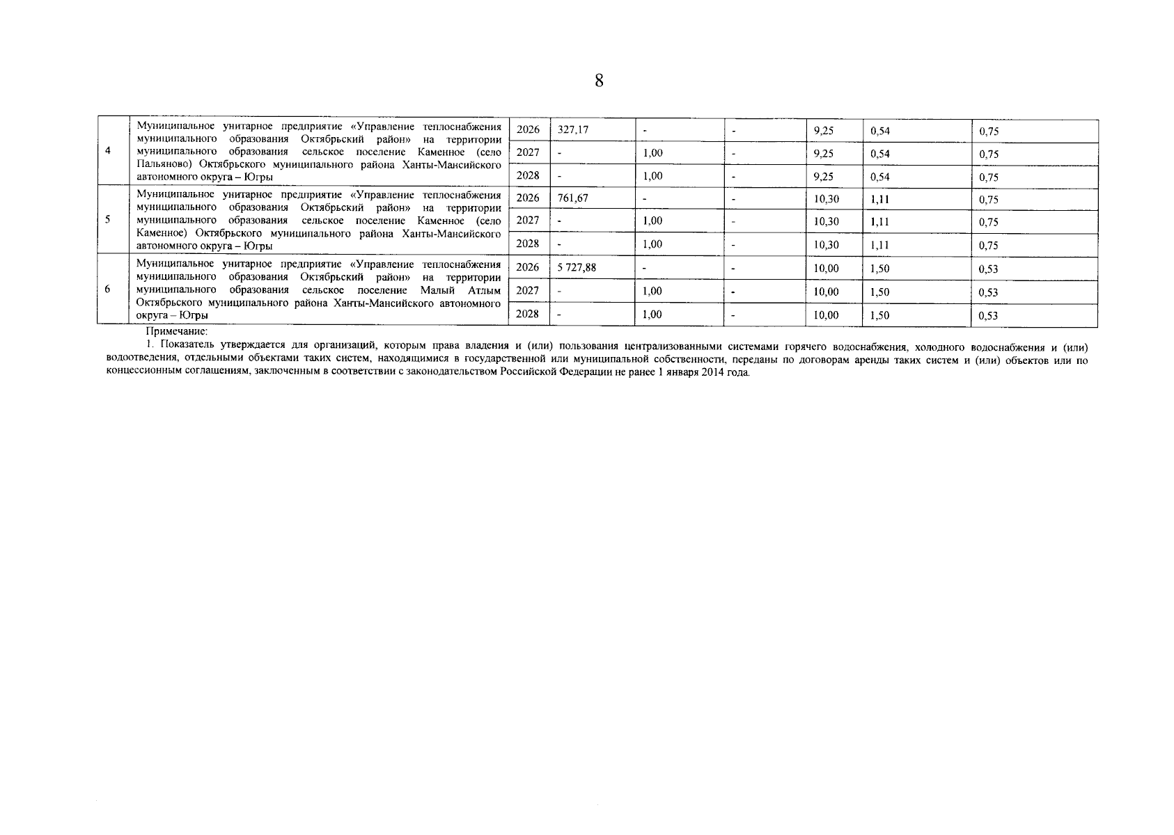
Приказ Региональной службы по тарифам Ханты-Мансийского автономного округа - Югры от 11.12.2025 № 102-нп
"Об установлении тарифов в сфере холодного водоснабжения и водоотведения для организаций, осуществляющих холодное водоснабжение и водоотведение"
(Зарегистрирован 18.12.2025 № 8515)
Номер опубликования: 8601202512180013
Дата опубликования: 18.12.2025
Страница №8 из 9:
Увеличить