Официальное опубликование правовых актов
ОФИЦИАЛЬНОЕ ОПУБЛИКОВАНИЕ
Приказ Департамента здравоохранения Ханты-Мансийского автономного округа - Югры от 16.06.2025 № 5-нп
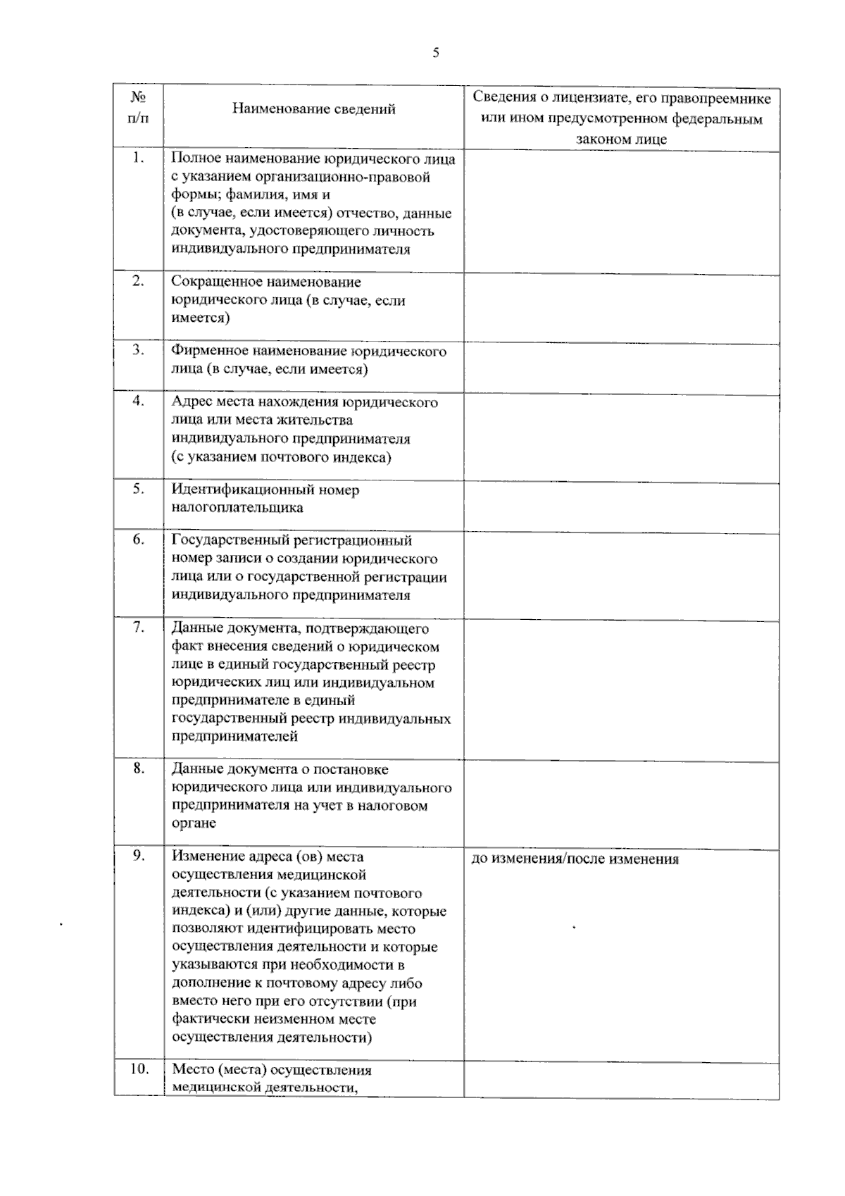
"О внесении изменений в приказ Департамента здравоохранения Ханты-Мансийского автономного округа – Югры от 28 сентября 2022 года № 16-нп "Об утверждении форм документов, используемых Департаментом здравоохранения Ханты-Мансийского автономного округа – Югры при лицензировании медицинской деятельности (за исключением медицинских организаций, подведомственных федеральным органам исполнительной власти)"
(Зарегистрирован 19.06.2025 № 8142)
Номер опубликования: 8601202506240001
Дата опубликования: 24.06.2025
Страница №5 из 7:
Увеличить