Официальное опубликование правовых актов
ОФИЦИАЛЬНОЕ ОПУБЛИКОВАНИЕ
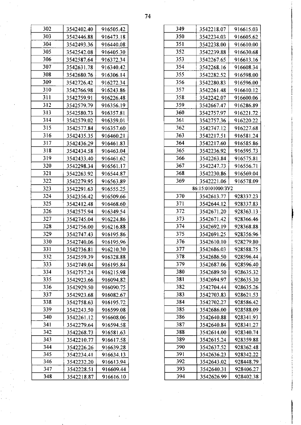
Приказ Департамента пространственного развития и архитектуры Ханты-Мансийского автономного округа - Югры от 29.03.2024 № 17-нп
"Об утверждении документации по планировке территории"
(Зарегистрирован 04.04.2024 № 7464)
Номер опубликования: 8601202404050003
Дата опубликования: 05.04.2024
Страница №74 из 110:
Увеличить