Официальное опубликование правовых актов
ОФИЦИАЛЬНОЕ ОПУБЛИКОВАНИЕ
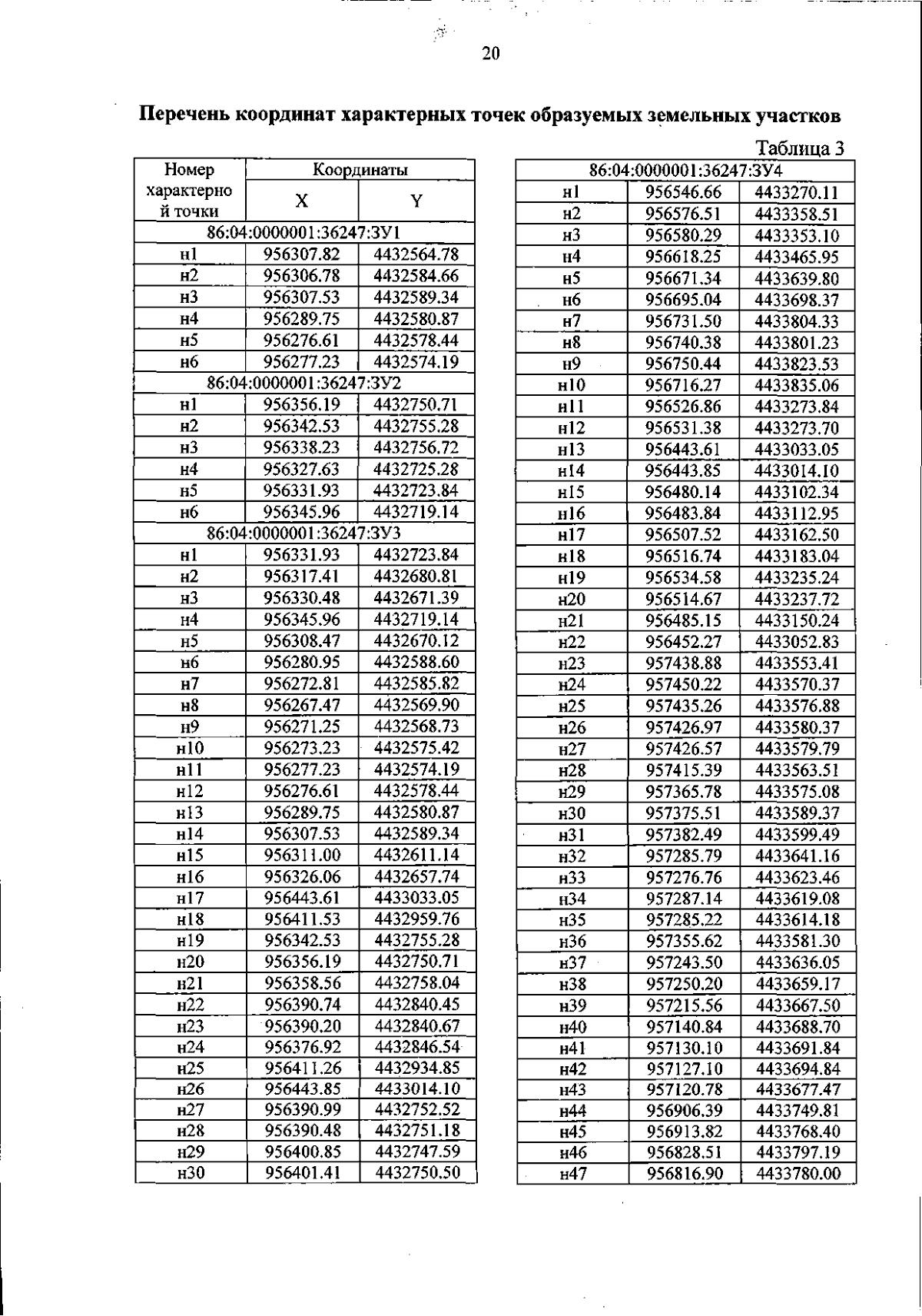
Приказ Департамента пространственного развития и архитектуры Ханты-Мансийского автономного округа - Югры от 15.01.2024 № 1-нп
"Об утверждении документации по планировке территории"
(Зарегистрирован 23.01.2024 № 7347 )
Номер опубликования: 8601202401250001
Дата опубликования: 25.01.2024
Страница №20 из 23:
Увеличить