Официальное опубликование правовых актов
ОФИЦИАЛЬНОЕ ОПУБЛИКОВАНИЕ
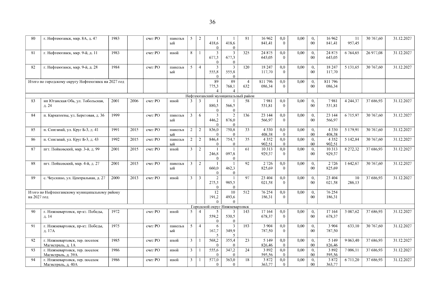
Постановление Правительства Ханты-Мансийского автономного округа - Югры от 15.04.2026 № 114-п
"О внесении изменения в постановление Правительства Ханты-Мансийского автономного округа – Югры от 25 ноября 2025 года № 468-п "О краткосрочном плане реализации программы капитального ремонта общего имущества в многоквартирных домах, расположенных на территории Ханты-Мансийского автономного округа – Югры, на 2026 – 2028 годы"
Номер опубликования: 8600202604200004
Дата опубликования: 20.04.2026
Страница №36 из 164:
Увеличить