Официальное опубликование правовых актов
ОФИЦИАЛЬНОЕ ОПУБЛИКОВАНИЕ
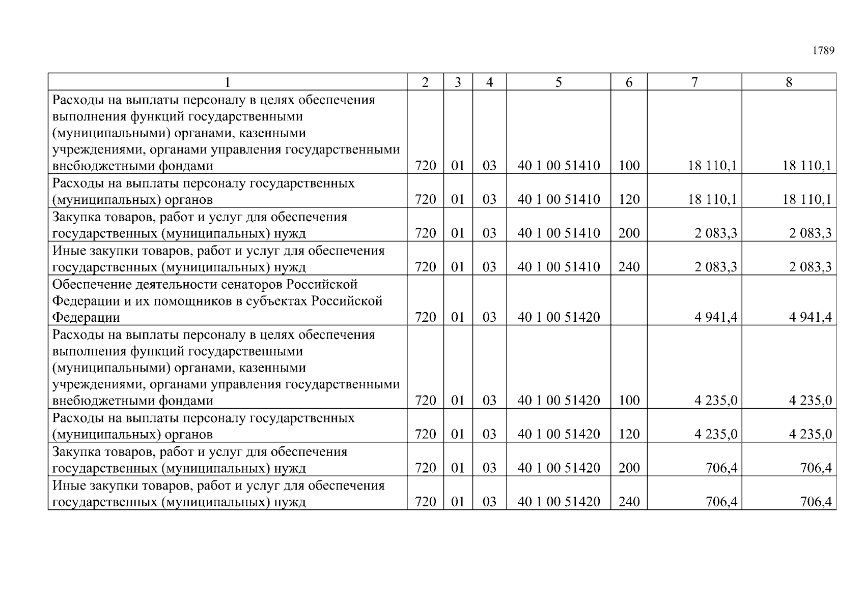
Закон Ханты-Мансийского автономного округа - Югры от 14.12.2023 № 110-оз
"О внесении изменений в Закон Ханты-Мансийского автономного округа – Югры "О бюджете Ханты-Мансийского автономного округа – Югры на 2023 год и на плановый период 2024 и 2025 годов"
Номер опубликования: 8600202312150035
Дата опубликования: 15.12.2023
Страница №1789 из 1888:
Увеличить