Официальное опубликование правовых актов
ОФИЦИАЛЬНОЕ ОПУБЛИКОВАНИЕ
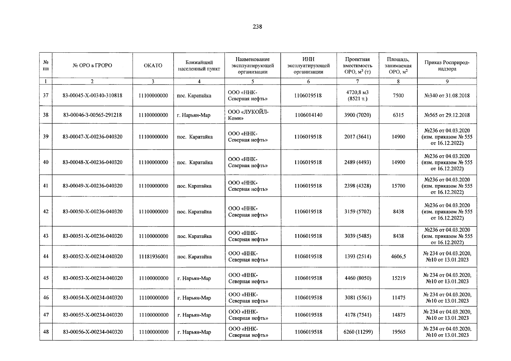
Приказ Департамента природных ресурсов, экологии и агропромышленного комплекса Ненецкого автономного округа от 19.06.2024 № 18-пр
"О внесении изменений в приказ Департамента природных ресурсов, экологии и агропромышленного комплекса Ненецкого автономного округа от 11.10.2016 № 74-пр"
(Зарегистрирован 19.06.2024 № 216)
Номер опубликования: 8301202406210001
Дата опубликования: 21.06.2024
Страница №239 из 417:
Увеличить