Официальное опубликование правовых актов
ОФИЦИАЛЬНОЕ ОПУБЛИКОВАНИЕ
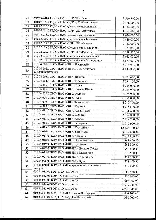
Приказ Департамента образования, культуры и спорта Ненецкого автономного округа от 28.04.2017 № 23
"О предоставлении отдельным государственным бюджетным организациям, подведомственным Департаменту образования, культуры и спорта Ненецкого автономного округа, субсидий на иные цели, не связанные с возмещением нормативных затрат на оказание государственных услуг в соответствии с государственным заданием"
Номер опубликования: 8301201705020002
Дата опубликования: 02.05.2017
Страница №10 из 42:
Увеличить