Официальное опубликование правовых актов
ОФИЦИАЛЬНОЕ ОПУБЛИКОВАНИЕ
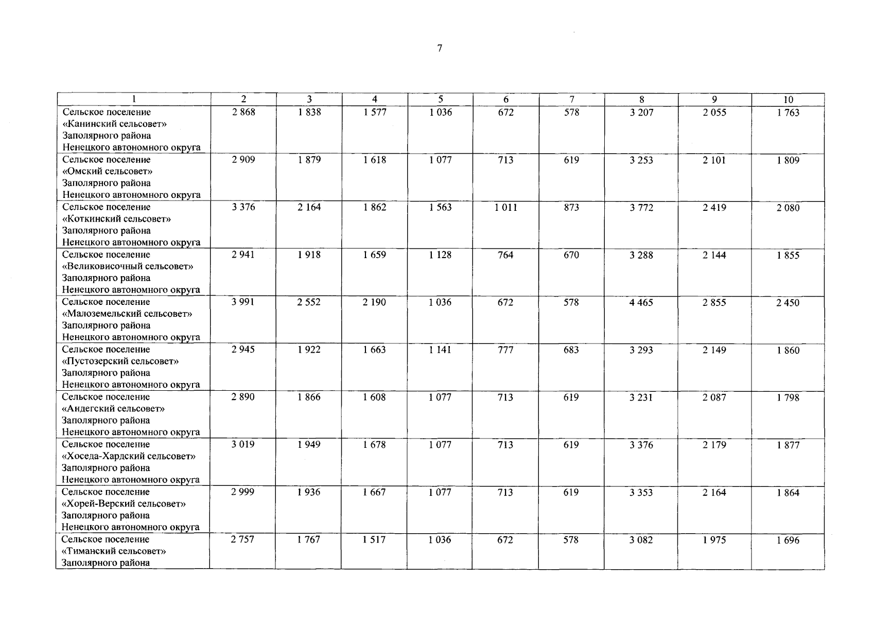
Постановление Администрации Ненецкого автономного округа от 23.12.2025 № 345-п
"Об утверждении региональных стандартов стоимости жилищно-коммунальных услуг в Ненецком автономном округе на 2026 год"
Номер опубликования: 8300202512240013
Дата опубликования: 24.12.2025
Страница №23 из 28:
Увеличить