Официальное опубликование правовых актов
ОФИЦИАЛЬНОЕ ОПУБЛИКОВАНИЕ
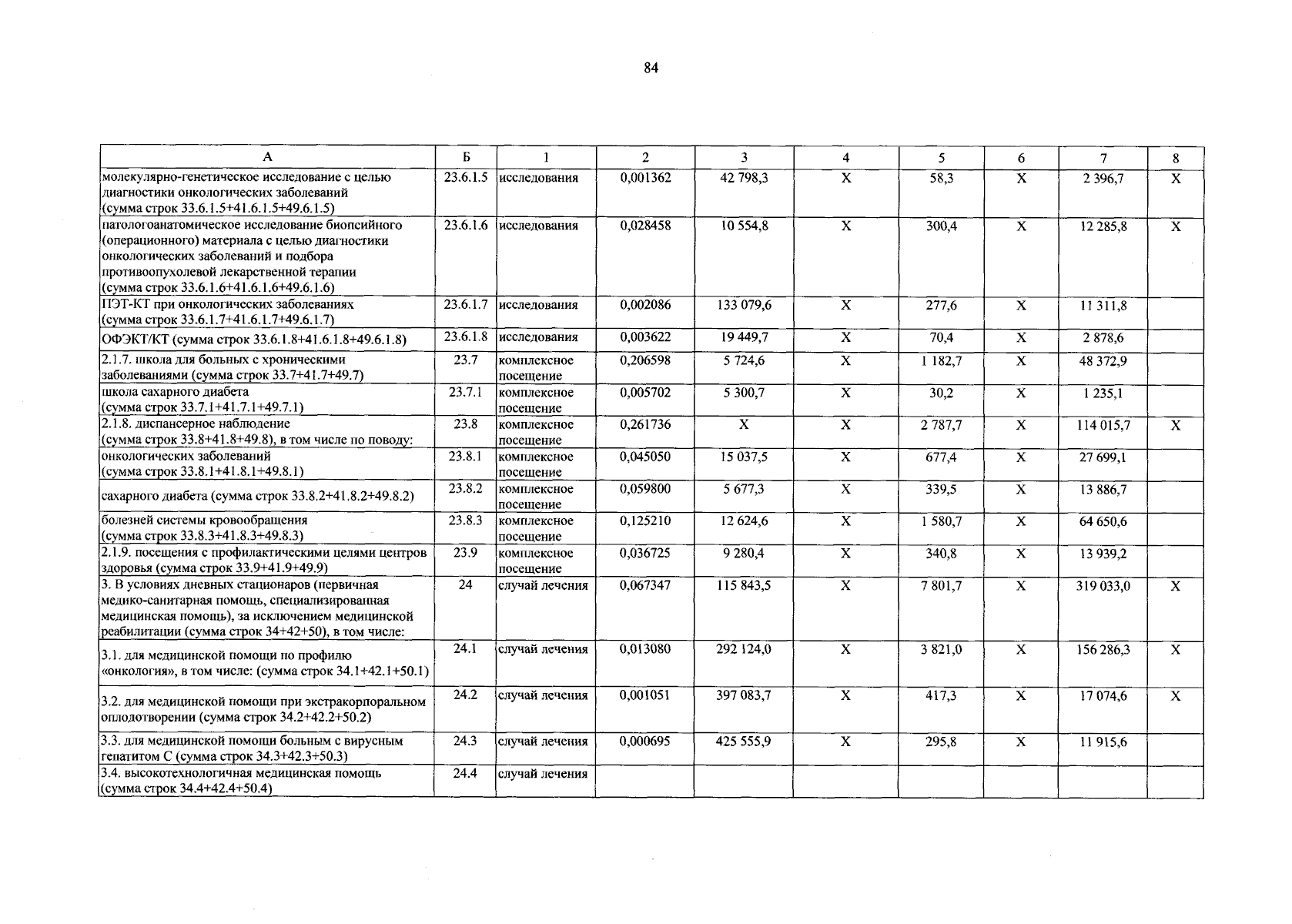
Постановление Администрации Ненецкого автономного округа от 24.11.2025 № 289-п
"О внесении изменений в Программу государственных гарантий бесплатного оказания гражданам медицинской помощи на территории Ненецкого автономного округа на 2025 год и на плановый период 2026 и 2027 годов"
Номер опубликования: 8300202511270003
Дата опубликования: 27.11.2025
Страница №85 из 97:
Увеличить