Официальное опубликование правовых актов
ОФИЦИАЛЬНОЕ ОПУБЛИКОВАНИЕ
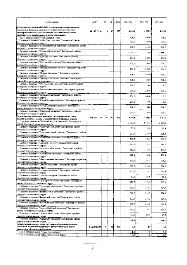
Закон Ненецкого автономного округа от 05.07.2023 № 419-оз
"О внесении изменений в закон Ненецкого автономного округа "Об окружном бюджете на 2023 год и на плановый период 2024 и 2025 годов"
Номер опубликования: 8300202307060005
Дата опубликования: 06.07.2023
Страница №302 из 305:
Увеличить