Официальное опубликование правовых актов
ОФИЦИАЛЬНОЕ ОПУБЛИКОВАНИЕ
Постановление Администрации Ненецкого автономного округа от 30.12.2022 № 394-п
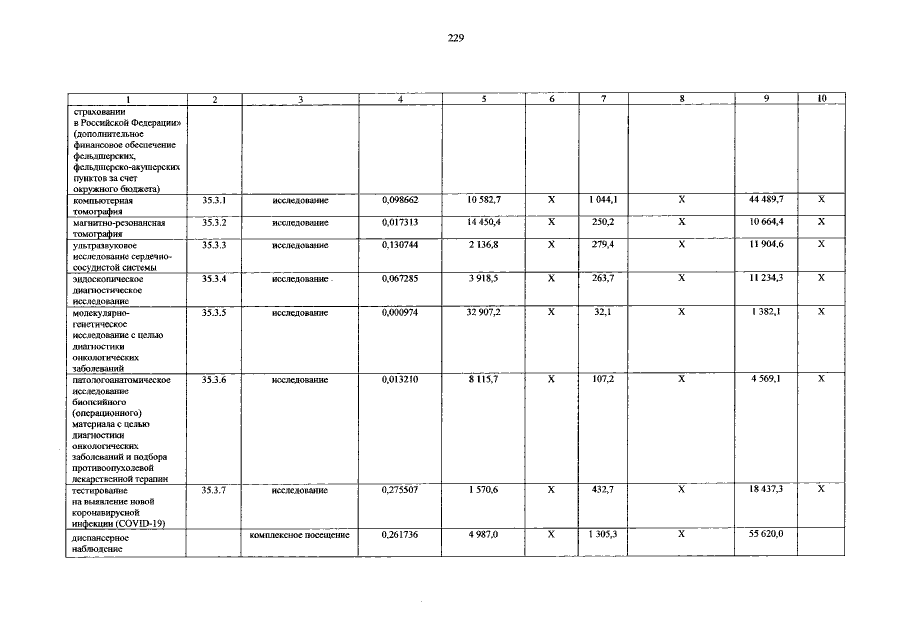
"О Программе государственных гарантий бесплатного оказания гражданам медицинской помощи на территории Ненецкого автономного округа на 2023 год и на плановый период 2024 и 2025 годов"
Номер опубликования: 8300202212310010
Дата опубликования: 31.12.2022
Страница №230 из 243:
Увеличить