Официальное опубликование правовых актов
ОФИЦИАЛЬНОЕ ОПУБЛИКОВАНИЕ
Постановление Администрации Ненецкого автономного округа от 14.09.2022 № 251-п
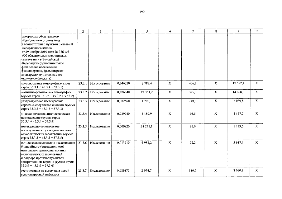
"О внесении изменений в Программу государственных гарантий бесплатного оказания гражданам медицинской помощи на территории Ненецкого автономного округа на 2022 год и на плановый период 2023 и 2024 годов"
Номер опубликования: 8300202209150001
Дата опубликования: 15.09.2022
Страница №191 из 225:
Увеличить