Официальное опубликование правовых актов
ОФИЦИАЛЬНОЕ ОПУБЛИКОВАНИЕ
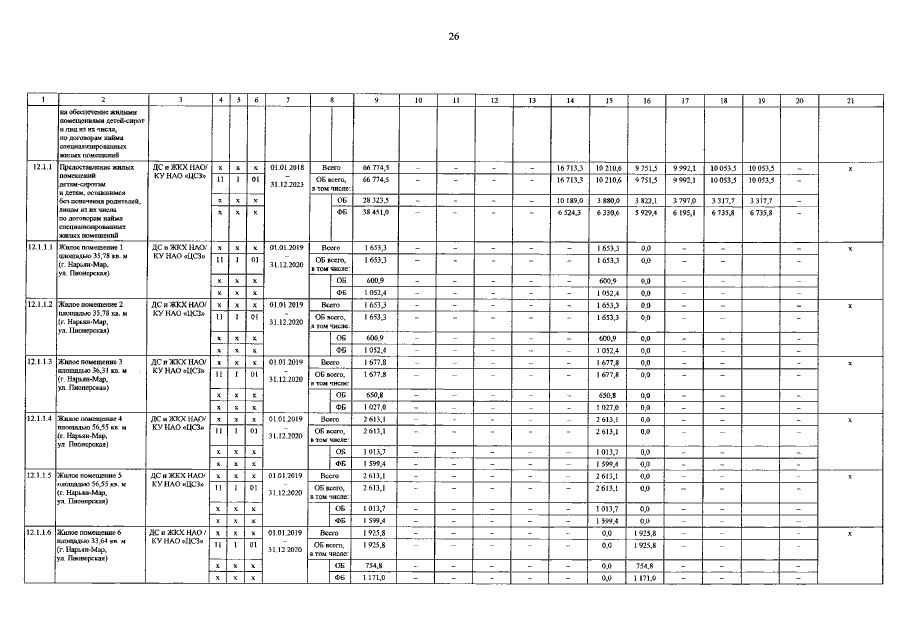
Постановление Администрации Ненецкого автономного округа от 29.10.2021 № 268-п
"О внесении изменений в государственную программу Ненецкого автономного округа "Обеспечение доступным и комфортным жильем и коммунальными услугами граждан, проживающих в Ненецком автономном округе"
Номер опубликования: 8300202111020001
Дата опубликования: 02.11.2021
Страница №27 из 39:
Увеличить