Официальное опубликование правовых актов
ОФИЦИАЛЬНОЕ ОПУБЛИКОВАНИЕ
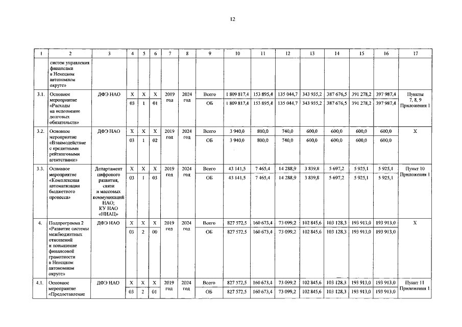
Постановление Администрации Ненецкого автономного округа от 11.10.2021 № 248-п
"О внесении изменений в государственную программу Ненецкого автономного округа "Управление региональными финансами в Ненецком автономном округе"
Номер опубликования: 8300202110140003
Дата опубликования: 14.10.2021
Страница №13 из 15:
Увеличить