Официальное опубликование правовых актов
ОФИЦИАЛЬНОЕ ОПУБЛИКОВАНИЕ
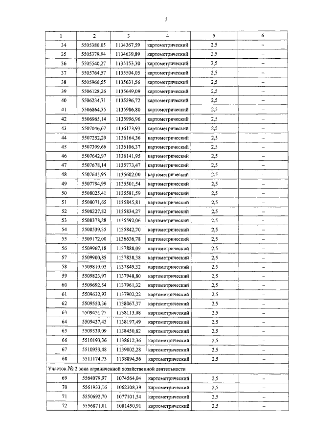
Постановление Администрации Ненецкого автономного округа от 09.09.2021 № 226-п
"О внесении изменений в постановление Администрации Ненецкого автономного округа от 30.08.2017 № 277-п"
Номер опубликования: 8300202109140006
Дата опубликования: 14.09.2021
Страница №6 из 8:
Увеличить