Официальное опубликование правовых актов
ОФИЦИАЛЬНОЕ ОПУБЛИКОВАНИЕ
Закон Ненецкого автономного округа от 12.07.2021 № 273-оз
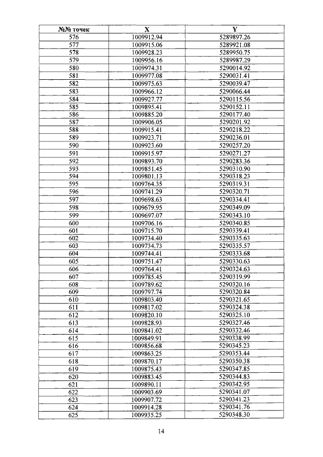
"О территориях Ненецкого автономного округа, в границах которых земельные участки могут быть предоставлены в безвозмездное пользование в соответствии с Федеральным законом "Об особенностях предоставления гражданам земельных участков, находящихся в государственной или муниципальной собственности и расположенных в Арктической зоне Российской Федерации и на других территориях Севера, Сибири и Дальнего Востока Российской Федерации, и о внесении изменений в отдельные законодательные акты Российской Федерации"
Номер опубликования: 8300202107160008
Дата опубликования: 16.07.2021
Страница №15 из 134:
Увеличить