Официальное опубликование правовых актов
ОФИЦИАЛЬНОЕ ОПУБЛИКОВАНИЕ
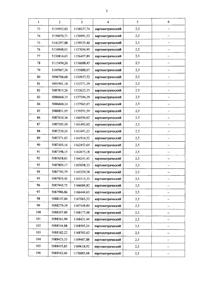
Постановление Администрации Ненецкого автономного округа от 22.06.2021 № 162-п
"О внесении изменений в Положение о государственном природном заказнике регионального значения "Колгуевский"
Номер опубликования: 8300202106230007
Дата опубликования: 23.06.2021
Страница №6 из 51:
Увеличить