Официальное опубликование правовых актов
ОФИЦИАЛЬНОЕ ОПУБЛИКОВАНИЕ
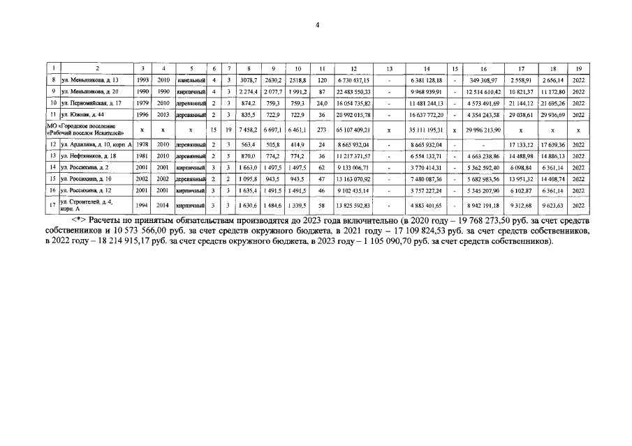
Постановление Администрации Ненецкого автономного округа от 18.06.2021 № 156-п
"О внесении изменений в краткосрочный план реализации региональной программы капитального ремонта общего имущества в многоквартирных домах, расположенных на территории Ненецкого автономного округа, на 2020–2022 годы"
Номер опубликования: 8300202106220001
Дата опубликования: 22.06.2021
Страница №5 из 17:
Увеличить