Официальное опубликование правовых актов
ОФИЦИАЛЬНОЕ ОПУБЛИКОВАНИЕ
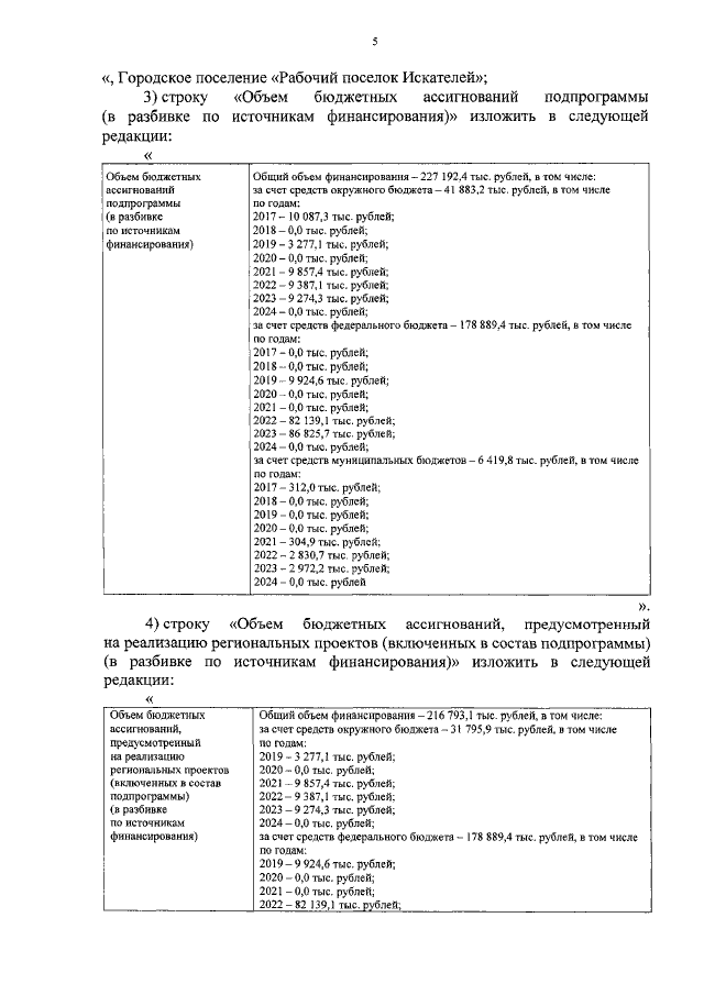
Постановление Администрации Ненецкого автономного округа от 16.04.2021 № 112-п
"О внесении изменений в государственную программу Ненецкого автономного округа "Модернизация жилищно-коммунального хозяйства Ненецкого автономного округа"
Номер опубликования: 8300202104200001
Дата опубликования: 20.04.2021
Страница №6 из 30:
Увеличить