Официальное опубликование правовых актов
ОФИЦИАЛЬНОЕ ОПУБЛИКОВАНИЕ
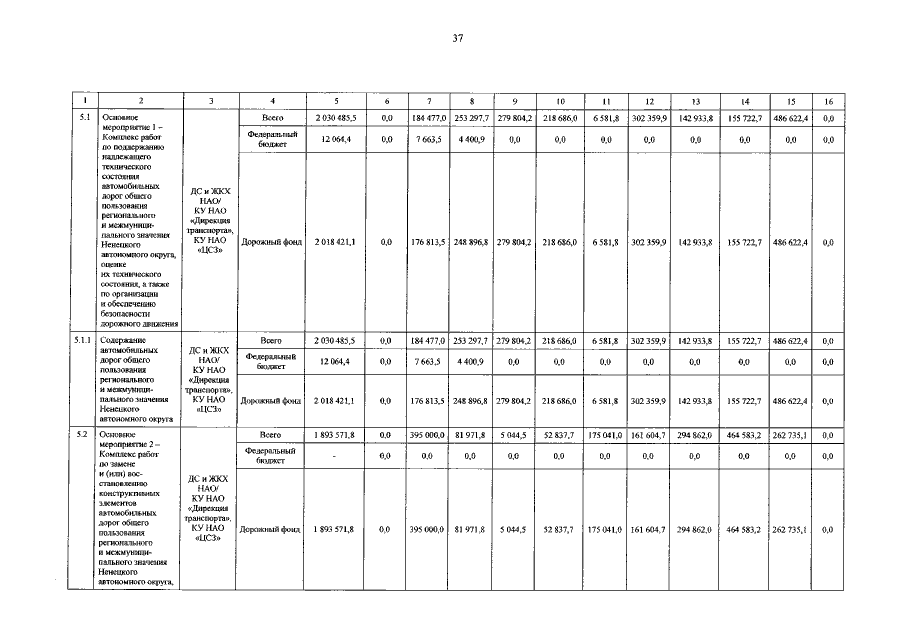
Постановление Администрации Ненецкого автономного округа от 05.04.2021 № 99-п
"О внесении изменений в государственную программу Ненецкого автономного округа "Развитие транспортной системы Ненецкого автономного округа"
Номер опубликования: 8300202104090005
Дата опубликования: 09.04.2021
Страница №38 из 44:
Увеличить