Официальное опубликование правовых актов
ОФИЦИАЛЬНОЕ ОПУБЛИКОВАНИЕ
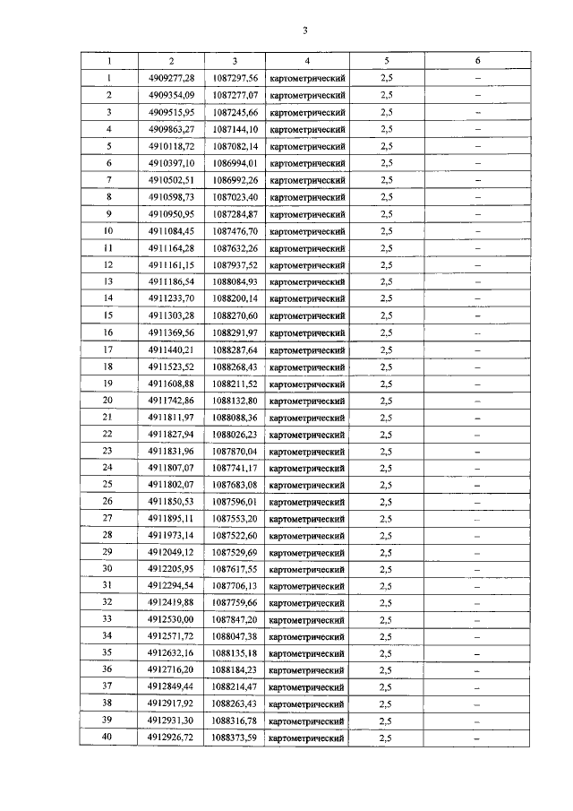
Постановление Администрации Ненецкого автономного округа от 09.03.2021 № 64-п
"О внесении изменений в Положение о государственном природном заказнике регионального значения "Шоинский"
Номер опубликования: 8300202103120004
Дата опубликования: 12.03.2021
Страница №4 из 25:
Увеличить