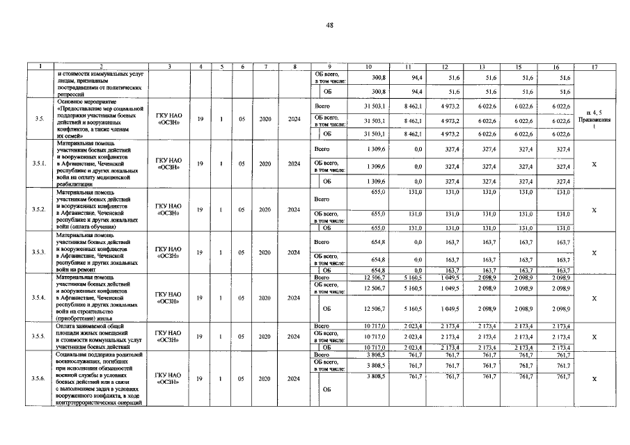
Постановление Администрации Ненецкого автономного округа от 26.02.2021 № 50-п
"О внесении изменений в государственную программу Ненецкого автономного округа "Социальная поддержка граждан в Ненецком автономном округе"
"О внесении изменений в государственную программу Ненецкого автономного округа "Социальная поддержка граждан в Ненецком автономном округе"
Номер опубликования: 8300202103020001
Дата опубликования:
02.03.2021
