Официальное опубликование правовых актов
ОФИЦИАЛЬНОЕ ОПУБЛИКОВАНИЕ
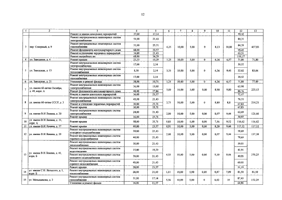
Постановление Администрации Ненецкого автономного округа от 25.12.2020 № 334-п
"О внесении изменений в краткосрочный план реализации региональной программы капитального ремонта общего имущества в многоквартирных домах, расположенных на территории Ненецкого автономного округа, на 2020–2022 годы"
Номер опубликования: 8300202012300011
Дата опубликования: 30.12.2020
Страница №13 из 17:
Увеличить