Официальное опубликование правовых актов
ОФИЦИАЛЬНОЕ ОПУБЛИКОВАНИЕ
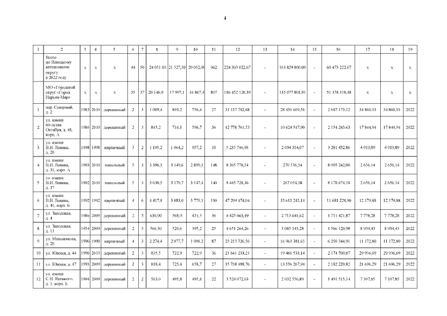
Постановление Администрации Ненецкого автономного округа от 29.05.2020 № 134-п
"О внесении изменений в краткосрочный план реализации региональной программы капитального ремонта общего имущества в многоквартирных домах, расположенных на территории Ненецкого автономного округа, на 2020–2022 годы"
Номер опубликования: 8300202006030005
Дата опубликования: 03.06.2020
Страница №5 из 18:
Увеличить