Официальное опубликование правовых актов
ОФИЦИАЛЬНОЕ ОПУБЛИКОВАНИЕ
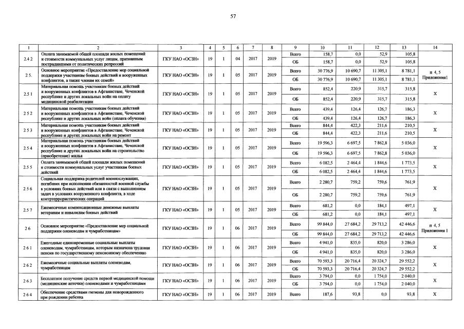
Постановление Администрации Ненецкого автономного округа от 06.02.2020 № 16-п
"О внесении изменений в государственную программу Ненецкого автономного округа "Социальная поддержка граждан в Ненецком автономном округе"
Номер опубликования: 8300202002110001
Дата опубликования: 11.02.2020
Страница №59 из 104:
Увеличить