Официальное опубликование правовых актов
ОФИЦИАЛЬНОЕ ОПУБЛИКОВАНИЕ
Постановление Администрации Ненецкого автономного округа от 28.12.2019 № 353-п
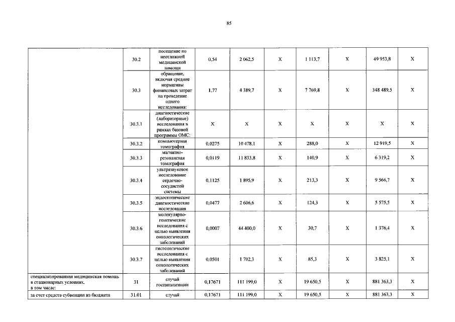
"О Программе государственных гарантий бесплатного оказания гражданам медицинской помощи на территории Ненецкого автономного округа на 2020 год и на плановый период 2021 и 2022 годов"
Номер опубликования: 8300201912300014
Дата опубликования: 30.12.2019
Страница №86 из 189:
Увеличить