Официальное опубликование правовых актов
ОФИЦИАЛЬНОЕ ОПУБЛИКОВАНИЕ
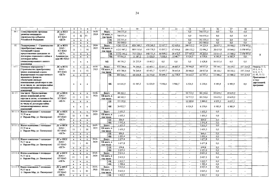
Постановление Администрации Ненецкого автономного округа от 19.12.2019 № 329-п
"О внесении изменений в государственную программу Ненецкого автономного округа "Обеспечение доступным и комфортным жильем и коммунальными услугами граждан, проживающих в Ненецком автономном округе"
Номер опубликования: 8300201912230003
Дата опубликования: 23.12.2019
Страница №25 из 35:
Увеличить