Официальное опубликование правовых актов
ОФИЦИАЛЬНОЕ ОПУБЛИКОВАНИЕ
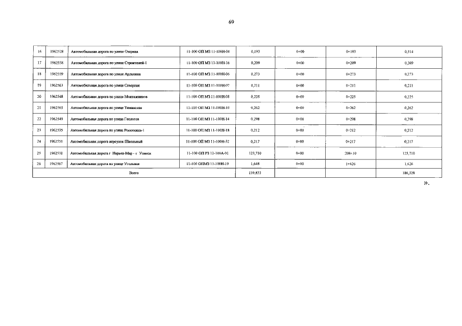
Постановление Администрации Ненецкого автономного округа от 06.12.2019 № 318-п
"О внесении изменений в государственную программу Ненецкого автономного округа "Развитие транспортной системы Ненецкого автономного округа"
Номер опубликования: 8300201912110001
Дата опубликования: 11.12.2019
Страница №70 из 88:
Увеличить