Официальное опубликование правовых актов
ОФИЦИАЛЬНОЕ ОПУБЛИКОВАНИЕ
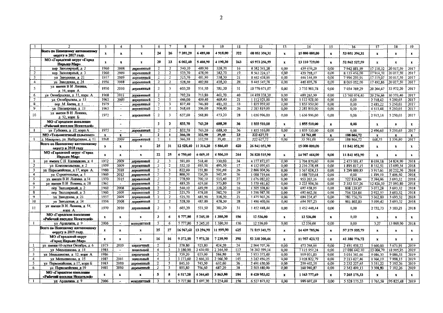
Постановление Администрации Ненецкого автономного округа от 29.07.2019 № 206-п
"О внесении изменений в краткосрочный план реализации региональной программы капитального ремонта общего имущества в многоквартирных домах, расположенных на территории Ненецкого автономного округа, на 2017-2019 годы"
Номер опубликования: 8300201907300001
Дата опубликования: 30.07.2019
Страница №3 из 12:
Увеличить