Официальное опубликование правовых актов
ОФИЦИАЛЬНОЕ ОПУБЛИКОВАНИЕ
Постановление Администрации Ненецкого автономного округа от 27.05.2019 № 151-п
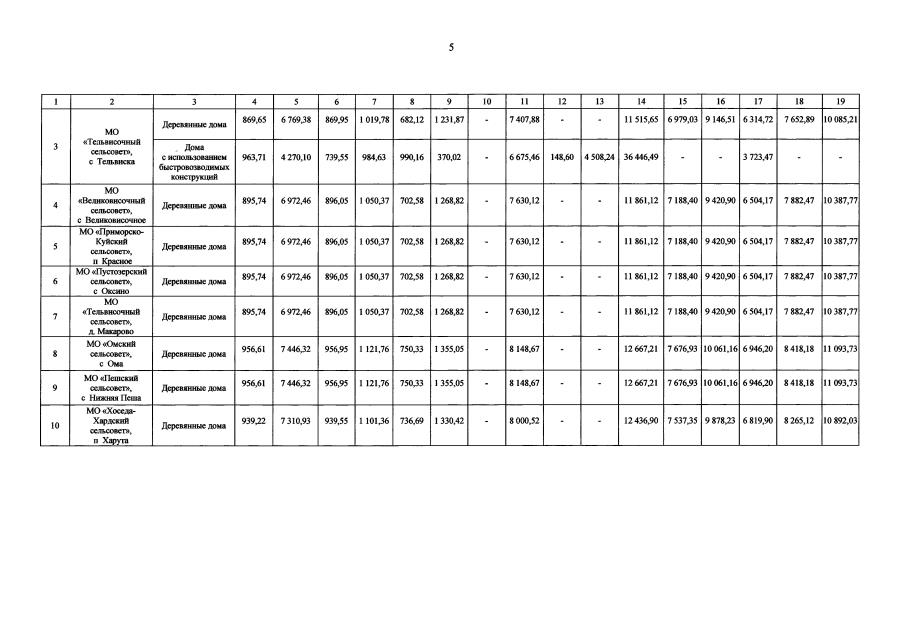
"Об утверждении размера предельной стоимости услуг и (или) работ по капитальному ремонту общего имущества в многоквартирном доме на территории Ненецкого автономного округа на 2020–2022 годы"
Номер опубликования: 8300201905290003
Дата опубликования: 29.05.2019
Страница №6 из 8:
Увеличить