Официальное опубликование правовых актов
ОФИЦИАЛЬНОЕ ОПУБЛИКОВАНИЕ
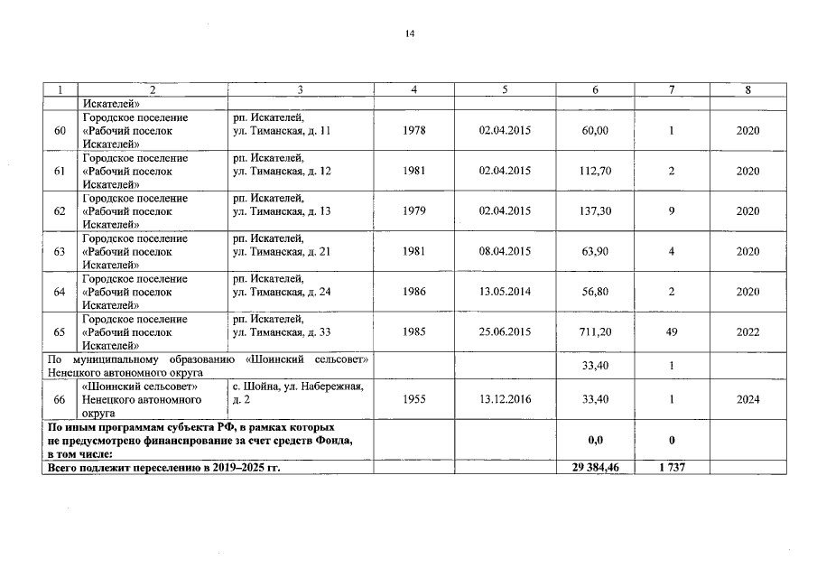
Постановление Администрации Ненецкого автономного округа от 10.04.2019 № 100-п
"Об утверждении региональной адресной программы "Переселение граждан из аварийного жилищного фонда Ненецкого автономного округа"
Номер опубликования: 8300201904100002
Дата опубликования: 10.04.2019
Страница №15 из 34:
Увеличить