Официальное опубликование правовых актов
ОФИЦИАЛЬНОЕ ОПУБЛИКОВАНИЕ
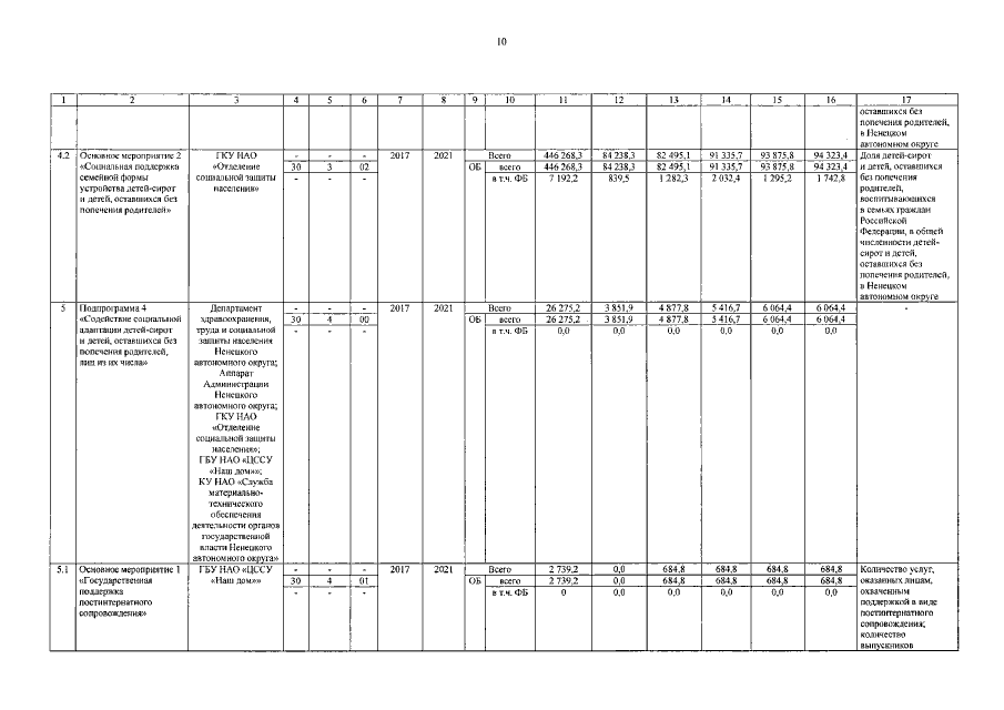
Постановление Администрации Ненецкого автономного округа от 09.04.2019 № 96-п
"О внесении изменений в государственную программу Ненецкого автономного округа "Профилактика социального сиротства, обеспечение жизнеустройства детей-сирот и детей, оставшихся без попечения родителей, в Ненецком автономном округе"
Номер опубликования: 8300201904100001
Дата опубликования: 10.04.2019
Страница №11 из 12:
Увеличить