Официальное опубликование правовых актов
ОФИЦИАЛЬНОЕ ОПУБЛИКОВАНИЕ
Постановление Администрации Ненецкого автономного округа от 27.02.2019 № 48-п
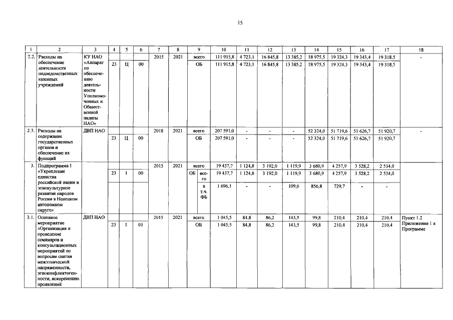
"О внесении изменений в государственную программу Ненецкого автономного округа "Реализация региональной политики Ненецкого автономного округа в сфере международных, межрегиональных и межнациональных отношений, развития гражданского общества и информации"
Номер опубликования: 8300201903040001
Дата опубликования: 04.03.2019
Страница №16 из 25:
Увеличить