Официальное опубликование правовых актов
ОФИЦИАЛЬНОЕ ОПУБЛИКОВАНИЕ
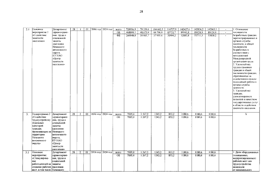
Постановление Администрации Ненецкого автономного округа от 01.02.2019 № 16-п
"О внесении изменений в постановление Администрации Ненецкого автономного округа от 17.11.2015 № 365-п"
Номер опубликования: 8300201902040011
Дата опубликования: 04.02.2019
Страница №29 из 34:
Увеличить