Официальное опубликование правовых актов
ОФИЦИАЛЬНОЕ ОПУБЛИКОВАНИЕ
Постановление Администрации Ненецкого автономного округа от 04.09.2018 № 212-п
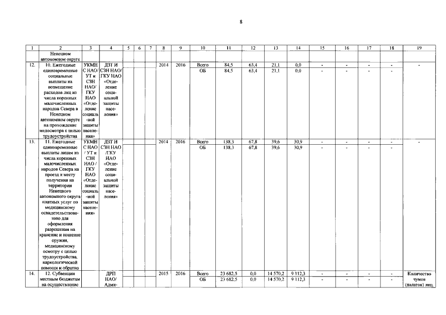
"О внесении изменений в государственную программу Ненецкого автономного округа "Сохранение и развитие коренных малочисленных народов Севера в Ненецком автономном округе"
Номер опубликования: 8300201809100002
Дата опубликования: 10.09.2018
Страница №9 из 14:
Увеличить