Официальное опубликование правовых актов
ОФИЦИАЛЬНОЕ ОПУБЛИКОВАНИЕ
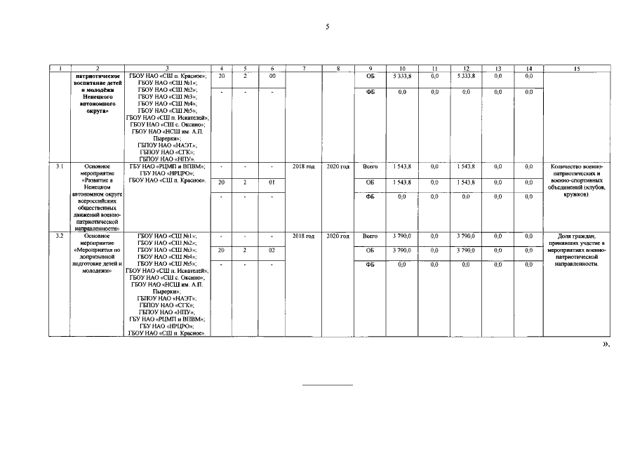
Постановление Администрации Ненецкого автономного округа от 04.09.2018 № 214-п
"О внесении изменений в государственную программу Ненецкого автономного округа "Патриотическое воспитание населения Ненецкого автономного округа"
Номер опубликования: 8300201809100001
Дата опубликования: 10.09.2018
Страница №6 из 6:
Увеличить